- 28 ก.พ. 2560
เปิดศึก "ดิสกุล" มรดกพันล้าน!! ญาติฟ้อง "ม.ล.ปนัดดา" ทวงที่ดินคืน!!!
ศาลแพ่งกรุงเทพใต้ ศาลได้ออกนั่งบัลลังก์ ชี้-สืบโจทก์ พิจรณาในคดีที่นางเกตน์สิรี ดิศกุล ณ อยุธยา ในฐานะผู้จัดการมรดกของ ม.ร.ว.วิบูลดิศ ดิศกุล (เจ้ามรดก) เป็นโจทก์ ยื่นฟ้องม.ล.ปนัดดา ดิศกุล รัฐมนตรีช่วยว่าการกระทรวงศึกษาธิการร ในฐานะผู้จัดการมรดกของ ม.ร.ว.วัฒนดิศ ดิศกุล, ม.ร.ว.หญิง เจตนีดิศ ปัทมดิลก และพล.อ.ม.ร.ว.สังขดิศ ดิศกุล (เจ้ามรดก) ตกเป็นจำเลย ในข้อหาหรือฐานความผิด แบ่งกรรมสิทธิ์รวม ให้ส่งมอบโฉนดที่ดินคืนแก่ฝ่ายตน
โดยทนายความฝ่ายโจทก์เปิดเผยว่า วันนี้ ม.ล.ปนัดดา ไม่ได้มาขึ้นศาลด้วยตัวเอง แต่ได้ส่งทนายมาแทน เนื่องจากติดงานราชการ ผลการหารือเป็นไปด้วยดีและใกล้ยุติ แต่ยังไม่สามารถให้ข้อมูลได้ว่า โฉนดที่ดินพิพาท จะอยู่ที่ฝ่ายใด และศาลได้นัดอีกครั้งในวันที่ 4 พ.ค. 2560
ด้านญาติฝ่ายโจทก์ ไม่ขอเปิดเผยข้อมูล เพราะเป็นเรื่องของครอบครัว เกรงจะกระทบ รูปคดี
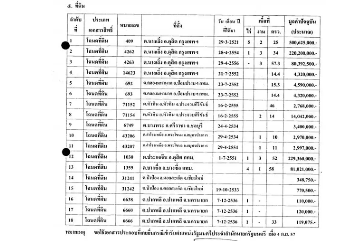
ด้านแหล่งข่าว คณะกรรมการป้องกันและปราบปรามการทุจริตแห่งชาติ หรือป.ป.ช. เปิดเผยว่า กรณีที่เกิดขึ้น ม.ล.ปนัดดาจะต้องยื่นบัญชีโฉนดที่ดินดังกล่าวให้ ป.ป.ช.ทราบด้วยหากมีชื่อร่วมอยู่ในโฉนดที่ดินนั้น พร้อมรายละเอียดว่า ม.ล.ปนัดดาได้ที่ดินกี่แปลง ซึ่งจะระบุด้านหลังของแบบฟอร์มที่ยื่นป.ป.ช. โดยผู้ยื่นแสดงบัญชีสามารถขอใช้เอกสารเก่าได้ ยกเว้นการแสดงบัญชีเงินที่มีการไหลเข้า-ไหลออกที่จะต้องแสดงใหม่.
ทั้งนี้ ป.ป.ช. ได้เปิดเผยบัญชีแสดงรายการทรัพย์สินและหนี้สินพร้อมเอกสารประกอบของผู้ดำรงตำแหน่งทางการเมือง ของรัฐมนตรีในรัฐบาล กรณีพ้นจากตำแหน่งรัฐมนตรีประจำสำนักนายกรัฐมนตรี และย้ายมาเป็นรมช.ศึกษาธิการ ครม.ประยุทธ์ จันโอชาร์ 4 พบว่าม.ล.ปนัดดา แจ้งว่ามีทรัพย์สิน 1,315,504,304 บาท ไม่มีหนี้สิน โดยทรัพย์สินส่วนใหญ่เป็นที่ดิน มูลค่ารวม 1,152,473,825 บาท เมื่อเปรียบเทียบกับทรัพย์สินที่ยื่นแสดงตอนเข้ารับตำแหน่ง พบว่ามีทรัพย์สินเพิ่มขึ้น 172,076 บาท
ทั้งนี้ร้อยเอก หม่อมหลวงปนัดดา ดิศกุล รัฐมนตรีช่วยว่าการกระทรวงศึกษาธิการ อดีตรัฐมนตรีประจำสำนักนายกรัฐมนตรี ประธานกรรมการคณะกรรมการขับเคลื่อนยุทธศาสตร์การบูรณาการการพัฒนาปรัชญาของเศรษฐกิจพอเพียง อดีตปลัดสำนักนายกรัฐมนตรี ประธานคณะกรรมการติดตามการป้องกันและปราบปรามกระทำความผิดที่ก่อให้เกิดความเสียหายแก่สถาบันพระมหากษัตริย์ ]อดีตประธานคณะอนุกรรมการตรวจสอบปริมาณและคุณภาพข้าวคงเหลือของรัฐ และอดีตรองปลัดกระทรวงมหาไทย
ม.ล.ปนัดดา เป็นบุตรชายคนเดียวของพล.อ.ม.ร.ว.สังขดิศ ดิศกุล อดีตเสรีไทยและอดีตเอกอัครราชทูตไทยประจำประเทศมาเลเซีย, สวิตเซอร์แลนด์ และสำนักวาติกัน กับมัณฑนา ดิศกุล ณ อยุธยา และเป็นปนัดดา (เหลน) ในสมเด็จพระเจ้าบรมวงศ์เธอ กรมพระยาดำรงราชานุภาพ ซึ่งพล.อ.ม.ร.ว.สังขดิศนั้น เป็นโอรสของม.จ.จุลดิศ ดิศกุล ซึ่งเป็นพระโอรสองค์โตในสมเด็จพระเจ้าบรมวงศ์เธอ กรมพระยาดำรงราชานุภาพ ที่มีพระโอรสธิดา รวมทั้งหมด 37 พระองค์ แบ่งเป็นชาย 14 พระองค์ หญิง 12 พระองค์ และไม่ปรากฏว่าเป็นหญิงหรือชาย 2 พระองค์ โดยขณะนี้ม.ล.ปนัดดาเป็นผู้ดูแลวังวรดิศ ของสมเด็จฯกรมพระยาดำรงราชานุภาพ ต่อจากบิดา ซึ่งมีการจัดตั้งเป็นพิพิธภัณฑ์วังวรดิศ ทั้งยังเป็นผู้จัดการมรดกของตระกูล “ดิศกุล”
เรียงเรียง Wila



